Koffi Sodokin, Maître de Conférences à l’Université de Lomé
Résumé
L’Afrique de l’Ouest traverse une phase critique où la fragmentation géopolitique fragilise la cohésion régionale et met en péril les acquis de l’intégration. L’insécurité croissante et les tensions politiques compromettent la confiance, réduisent les échanges, freinent les investissements et ralentissent la transformation structurelle. Sans stabilité géopolitique, les ambitions d’intégration économique et monétaire demeurent hors de portée, confirmant que le développement et la sécurité sont indissociables. La refondation de l’intégration régionale suppose une réaffirmation claire, au plus haut niveau politique, des principes fondateurs de la Communauté Économique des États de l’Afrique de l’Ouest (CEDEAO). Il s’agit de la démocratie, la libre circulation et la coopération économique à des niveaux sous régionaux. Elle implique aussi l’acceptation d’une mutualisation accrue de la souveraineté dans l’intérêt commun. Le renforcement des prérogatives exécutives et coercitives de la CEDEAO, y compris la création d’une force régionale permanente de maintien de la paix, accroîtrait la crédibilité de l’organisation face aux ruptures non parlementaires de l’ordre constitutionnel. Mais l’intégration ne saurait demeurer un projet technocratique : elle doit devenir inclusive, portée par la société civile, les acteurs économiques, les parlements nationaux et les réseaux universitaires et culturels, afin de construire une conscience collective ouest-africaine. L’Afrique de l’Ouest se trouve à un moment charnière : les crises actuelles révèlent les fragilités à plusieurs niveaux mais offrent aussi l’opportunité d’une refondation ambitieuse, combinant stabilisation proactive, diversification économique et gouvernance renforcée. Si ces réformes sont mises en œuvre, la région pourrait transformer ses vulnérabilités en atouts et devenir un modèle de résilience régionale. Ce sont les conclusions d’une analyse présentée par le Professeur Koffi Sodokin lors des Journées Scientifiques Internationales de Lomé en Novembre 2024 et à paraître dans le Journal de la Recherche Scientifique de l’Université de Lomé « Actes des Journées Scientifiques Internationales de Lomé (JSIL-2024, XXᵉ édition), pp. 373-398. Université de Lomé, Togo. ISBN : 978-2-916789-80-4. »
Une région à la croisée des chemins
L’Afrique de l’Ouest a longtemps incarné l’espoir d’une intégration économique réussie sur le continent. Cet idéal s’est concrétisé en 1975, avec l’acte historique posé par le Président togolais Gnassingbé Eyadéma et le Président nigérian Yakubu Gowon, qui ont signé à Lagos le Traité fondateur de la CEDEAO. Leur vision était claire : dépasser les fragmentations nationales pour créer un espace commun de libre circulation des personnes, des biens et des capitaux, et poser les bases d’un marché intégré capable de soutenir le développement. Dans ce sillage, la création en 1994 de l’Union Économique et Monétaire Ouest-Africaine (UEMOA) est venue renforcer ce projet en instituant une monnaie partagée et en consolidant les mécanismes de convergence économique. Ainsi, depuis l’acte de 1975, la région s’est engagée sur la voie ambitieuse d’un marché commun, d’une monnaie unique à terme et d’une libre circulation effective, fidèle à l’esprit pionnier insufflé par Eyadéma et Gowon. L’idée était simple : unir ses forces pour être plus fort dans un monde où la taille des marchés et la stabilité politique conditionnent la prospérité. Mais depuis 2020, une série de secousses géopolitiques menace cet édifice. Coups d’État militaires au Mali, en Guinée, au Burkina Faso et au Niger ; montée du terrorisme transfrontalier ; tensions sur le franc CFA et sur le projet de monnaie unique « ECO ». Autant de fractures qui fragilisent les acquis de l’intégration régionale.
Dans une étude que j’ai menée sur la période 1990-2022 et à paraître dans Le Journal de la Recherche Scientifique de l’Université de Lomé (J. Rech. Sci. Univ. Lomé), j’ai voulu comprendre comment ces ruptures politiques pourraient affecter concrètement l’économie ouest-africaine. En mobilisant des données couvrant quinze pays et un modèle économétrique (un Panel VAR, pour « modèle vectoriel autorégressif en panel »), j’ai construit un indice de « fragmentation géopolitique » pour l’Afrique de l’Ouest. L’objectif est de mesurer l’impact des coups d’État, des conflits armés et des crises politiques sur quatre piliers essentiels du développement : la croissance économique, les investissements étrangers, le commerce et la transformation structurelle. Les résultats nous révèlent que la fragmentation pourrait agir comme une véritable force de ralentissement économique.
La fragmentation géopolitique
Comment quantifier un climat politique aussi mouvant que celui de l’Afrique de l’Ouest ? Pour dépasser les impressions générales et fournir un outil rigoureux d’analyse, l’étude a construit un indice de fragmentation géopolitique spécialement adapté au contexte régional (Graphique 1). Cet indice agrège plusieurs dimensions objectives et qualitatives : d’une part, les événements institutionnels disruptifs tels que le nombre de coups d’État réussis ou de tentatives au cours d’une année ; d’autre part, les dynamiques sécuritaires, mesurées par la fréquence des conflits armés internes et transfrontaliers, ainsi que par le nombre d’attaques terroristes majeures enregistrées sur le territoire. À ces variables factuelles s’ajoute un indicateur de gouvernance issu de la Banque mondiale, qui évalue la stabilité politique et l’absence de violence. Ces différentes composantes sont normalisées et combinées afin de produire une mesure synthétique et comparable entre pays et au fil du temps. L’échelle de l’indice va de 0 (stabilité parfaite) à 1 (instabilité extrême) : plus un pays se rapproche de 1, plus il est considéré comme fragmenté, en proie à des ruptures institutionnelles non parlementaires, des conflits armés ou une fragilité sécuritaire profonde. Cette démarche permet de transformer une réalité souvent décrite de manière qualitative en un outil quantifiable, rendant possible l’analyse statistique des liens entre instabilité géopolitique et performances économiques. Elle ouvre ainsi la voie à une lecture dynamique des trajectoires nationales, en montrant comment la montée ou le reflux de la fragmentation influe directement sur la croissance, les investissements, le commerce et la transformation structurelle. Derrière les valeurs abstraites se cache en réalité l’expérience vécue de millions de personnes : pour un commerçant transfrontalier, c’est la crainte qu’une frontière se ferme du jour au lendemain et bloque ses marchandises ; pour un investisseur local, c’est l’hésitation à engager des capitaux dans une usine, de peur qu’un changement politique soudain vienne remettre en cause ses droits de propriété ; pour une famille, c’est l’angoisse de voir ses conditions de vie se dégrader en raison de l’insécurité ou de la paralysie des services publics. L’indice quantifie ce climat d’instabilité en donnant une mesure objective à ce sentiment diffus de vulnérabilité. Il agit ainsi comme un thermomètre politique et sécuritaire : plus il s’élève, plus il signale que les marges de manœuvre économiques se réduisent, que la confiance se détériore et que les perspectives de développement s’éloignent. En condensant ces réalités multiples dans une échelle unique, il devient possible de comparer les pays, de suivre les évolutions dans le temps et d’alerter sur les risques futurs, offrant ainsi aux décideurs un outil d’anticipation stratégique.

Graphique 1. Evolution de l’indice de la fragmentation dans la CEDEAO entre 1990 et 2022.
Source : Auteur
L’instabilité géopolitique pourrait mener à une crise économique systémique
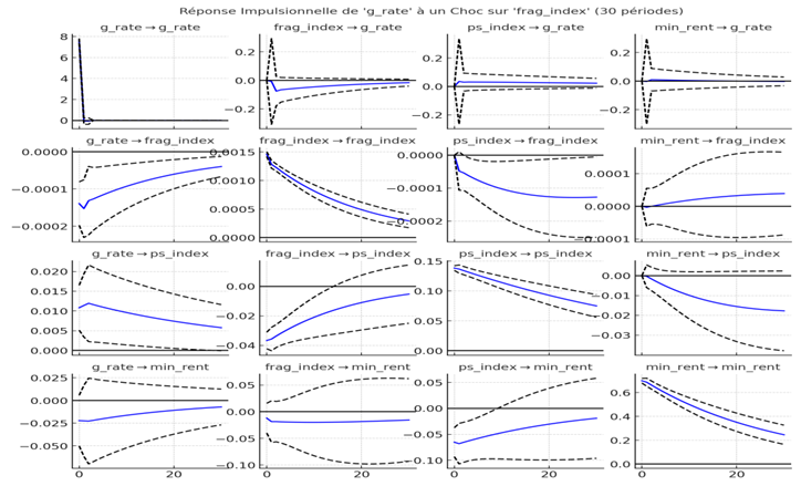
Les résultats des simulations confirment une réalité préoccupante : les secousses politiques pourraient se traduire presque immédiatement par un ralentissement de l’économie. Comme le montre le graphique des réponses impulsionnelles, un choc majeur de fragmentation entraînerait dès la première période une baisse du taux de croissance du PIB réel d’environ 2 points de pourcentage par rapport à sa trajectoire de référence (Graphique 2). L’impact ne se limiterait pas au court terme : la courbe atteindrait un creux entre la 1ʳᵉ et la 2ᵉ année, avec une perte cumulée oscillant entre 2 et 3 points de croissance par rapport au scénario contrefactuel. La reprise serait lente : il faudrait près de cinq années pour que la croissance commence à converger vers sa tendance de long terme, et même dans ce cas, l’effet resterait négatif sur l’ensemble de la période simulée. Ces résultats suggèrent que l’instabilité institutionnelle ne détruirait pas seulement la croissance immédiate : elle effacerait plusieurs années de progrès économique potentiel. Les pertes ne seraient pas uniquement comptables : elles signifieraient concrètement des routes jamais construites, des écoles inachevées, des emplois disparus avant même d’avoir existé. La fragilité de la reprise serait particulièrement marquée dans les pays enclavés et dépendants des ressources primaires, où chaque choc retarderait durablement la convergence avec les autres économies de la région. L’instabilité fonctionnerait ainsi comme une force économique régressive, dont les effets cumulatifs plongeraient les pays dans un cercle de retard structurel.

Source : auteur
L’analyse comparative entre les économies de l’Alliance des États du Sahel (AES) et les autres membres de la CEDEAO (Graphique 3) révèle une asymétrie fondamentale dans les mécanismes de résilience économique. La magnitude différentielle des chocs (-150 points de base pour l’AES contre -100 pour les autres pays) reflète une configuration structurelle de vulnérabilités accumulées : dépendance aux ressources primaires, fragilité institutionnelle, exposition géographique. Ces résultats confirment un potentiel ralentissement des investissements publics, projets de développement suspendus, difficultés accrues pour les entreprises locales.

Source : auteur
Les investisseurs étrangers pourraient fermer le robinet
Le deuxième canal est celui des investissements directs étrangers (IDE). La confiance des investisseurs repose sur la visibilité à long terme, or toute instabilité politique introduit un risque juridique et financier qui décourage l’engagement de capitaux. L’analyse montre que les épisodes de fragmentation géopolitique entraînent un repli marqué des IDE dans l’ensemble de la CEDEAO, mais l’impact est particulièrement prononcé dans les pays de l’Alliance des États du Sahel, où la dépendance aux ressources primaires, la fragilité institutionnelle et l’insécurité chronique amplifient la perte de confiance (Graphique 4). Alors que certains pays côtiers de la CEDEAO parviennent à regagner plus rapidement l’attention des investisseurs une fois la stabilité restaurée, les économies sahéliennes pourraient connaître, toute chose égale par ailleurs, des décrochages plus durables, limitant leur capacité à financer des projets industriels, miniers ou d’infrastructures. Cette asymétrie illustre une double fracture : la fragmentation réduit globalement l’attractivité régionale, mais elle creuse surtout l’écart entre les pays sahéliens et le reste de la communauté.Dans une région où les IDE sont essentiels pour financer les infrastructures et diversifier les économies, leur effondrement compromet les perspectives de long terme.

Source : auteur
Le commerce intrarégional pourrait être le grand perdant
L’Afrique de l’Ouest souffrait déjà d’un faible niveau d’intégration commerciale, avec moins de 15 % des échanges réalisés entre pays de la CEDEAO. Les crises récentes pourraient accentuer encore ce déficit. Les estimations montrent qu’après un choc de fragmentation, le commerce d’un pays pourrait reculer sensiblement, avec des effets particulièrement marqués dans les économies de l’Alliance des États du Sahel. Dans ces pays enclavés et exposés aux conflits transfrontaliers, les routes coupées, les frontières fermées et les sanctions régionales se traduisent par un isolement brutal et une contraction durable des flux commerciaux (Graphique 5). À l’inverse, certains États côtiers de la CEDEAO, disposant de meilleures infrastructures et de ports ouverts, parviendraient à amortir partiellement le choc et à relancer plus rapidement leurs échanges. Cette asymétrie révèle une intégration à deux vitesses : alors que la CEDEAO dans son ensemble pourrait voire ses ambitions de marché commun fragilisées, l’AES subirait un décrochage plus prononcé, compromettant les dynamiques de convergence et réduisant la capacité des entrepreneurs sahéliens à s’internationaliser.

Source : auteur
Au-delà des chiffres, ce sont des milliers de commerçants informels, de transporteurs et de petites entreprises qui subiraient directement l’impact des fermetures. Les marchés frontaliers, où circulent quotidiennement céréales, bétail, produits manufacturés ou carburant, se videraient brutalement lorsque les frontières se fermeraint. Les transporteurs, contraints d’immobiliser leurs camions, veraient leurs revenus s’effondrer et leurs charges s’accumuler. Les commerçantes transfrontalières, souvent dépendantes du petit négoce pour la survie de leur foyer, se retrouveraient privées de débouchés et plongées dans la précarité. Les petites entreprises locales, déjà fragiles, perdraient leurs fournisseurs ou leurs clients et verraient leur trésorerie s’assécher, menaçant leur survie. Ces effets en cascade ne se limiteraient pas aux zones de crise immédiates : ils pourraient se diffuser rapidement dans les capitales et les grands centres urbains, provoquant une hausse des prix, une pénurie de biens essentiels et une contraction du pouvoir d’achat des ménages. Ainsi, chaque fermeture de frontière ou corridor commercial ne se traduirait pas seulement par une baisse statistique des échanges, mais par une rupture tangible dans la vie économique et sociale de millions de familles.
La transformation structurelle pourrait s’essouffler
La transformation structurelle, indispensable pour diversifier les économies et réduire la dépendance aux matières premières, pourraitêtre fortement compromise par l’instabilité. Dans l’ensemble de la CEDEAO, les épisodes de fragmentation pourraient retarder les transitions industrielles et affaiblir les gains de productivité (Graphique 6). Toutefois, l’impact pourrait être, toute chose égale par ailleurs, particulièrement sévère dans l’AES, où l’insécurité récurrente décourage les investissements de long terme nécessaires à l’industrialisation et à l’agro-transformation. Les pays côtiers de la communauté, mieux insérés dans les chaînes régionales et disposant d’infrastructures plus robustes, réussiraient à maintenir un certain dynamisme productif malgré les turbulences. Cette asymétrie accentuerait le risque d’un développement à deux vitesses : un AES enfermé dans une dépendance prolongée aux secteurs primaires, et un reste de CEDEAO qui, bien que fragilisé, conserverait davantage de perspectives de diversification.

Source : auteur
Les fractures régionales pourraient s’accentuer
Un constat majeur réside dans l’écart croissant entre les pays de l’Alliance des États du Sahel (Mali, Burkina Faso, Niger) et le reste de la CEDEAO. Les économies sahéliennes, caractérisées par une forte dépendance aux ressources primaires, une fragilité institutionnelle persistante et une exposition directe aux menaces sécuritaires, se sont supposés réagir plus violemment aux chocs de fragmentation. Leur croissance pourrait se contracter davantage et les trajectoires de reprise pourraient s’avérer plus lentes et incertaines. À l’inverse, certains pays côtiers de la communauté, disposant d’économies plus diversifiées et de meilleures infrastructures, pourraient montrer une capacité relative d’absorption et de redressement. Cette divergence accentuerait une fracture interne, faisant émerger une intégration à deux vitesses au sein de la CEDEAO, et mettant en péril l’objectif de convergence économique régionale qui constituait l’un des fondements du projet communautaire.
L’effet domino de la fragmentation géopolitique
L’instabilité d’un pays ne demeure jamais confinée à ses frontières. Elle pourrait se propager par plusieurs canaux interdépendants. D’abord, le commerce transfrontalier est directement affecté : la fermeture d’un corridor stratégique ou la perturbation des routes sahéliennes entraîne des pertes considérables pour les économies voisines, en particulier celles dont l’accès aux marchés extérieurs dépend du transit par les pays enclavés. Ensuite, les flux de réfugiés et de déplacés internes exercent une pression sociale et budgétaire sur les pays d’accueil, souvent déjà fragiles. Par ailleurs, la contagion de la méfiance des investisseurs agit comme un multiplicateur de risques : une crise localisée au Mali ou au Niger peut suffire à dégrader l’image de l’ensemble de la région et à détourner des capitaux qui auraient bénéficié à des pays relativement stables comme la Côte d’Ivoire, le Ghana ou le Togo. À cela s’ajoute l’effet d’imitation institutionnelle : l’effritement de l’ordre constitutionnel non parlementaire dans un État fragilise la légitimité des dispositifs régionaux dans leur ensemble. Cette combinaison de canaux démontre que la stabilité politique constitue un bien public régional : si un seul maillon vacille, c’est toute la chaîne de l’intégration économique et politique qui se trouve menacée.
Quelles leçons pour l’avenir ?
Les États membres de la CEDEAO traversent une phase où les problèmes politique et sécuritaire fragilisent les fondements de l’intégration régionale : transitions institutionnelles non parlementaires récurrentes, insécurité transfrontalière et tensions internes entament la confiance des acteurs économiques, perturbent les flux commerciaux et découragent l’investissement productif. Ces dynamiques accentuent des vulnérabilités structurelles déjà marquées par la dépendance aux matières premières et limitent la diversification des bases productives. Elles révèlent en outre une fracture interne : les pays de l’Alliance des États du Sahel, plus exposés aux conflits et à l’isolement géographique, pourraient subir des chocs plus sévères et des reprises plus lentes que les États côtiers mieux connectés aux échanges régionaux, nourrissant une intégration à deux vitesses et compromettant l’objectif de convergence économique. Pour éviter une désintégration totale, plusieurs pistes cohérentes se dégagent : (i) renforcer la prévention des crises, en perfectionnant les systèmes d’alerte précoce et en institutionnalisant des médiations inclusives associant opposition, société civile et acteurs économiques ; (ii) créer des mécanismes de solidarité régionale, via un fonds de stabilisation capable d’amortir les chocs et une force régionale de maintien de la paix apte à intervenir rapidement ; (iii) restaurer la confiance des investisseurs, par des garanties juridiques crédibles et la sécurisation de corridors commerciaux assurant la continuité des échanges même en période de tension ; (iv) diversifier les économies, en réduisant la dépendance aux matières premières et en développant des filières à plus forte valeur ajoutée—agro-industrie, entrepreneuriat local, économie numérique ; (v) ancrer l’intégration dans la société, en intensifiant les échanges universitaires, les réseaux d’affaires et les programmes culturels afin de consolider une identité régionale partagée et de rendre le projet communautaire plus résilient aux chocs politiques..
Conclusion : une opportunité dans la crise
L’Afrique de l’Ouest se situe aujourd’hui à un carrefour décisif. Les chocs géopolitiques récents ont révélé la fragilité des institutions et les limites de l’intégration régionale telle qu’elle a été conçue jusqu’ici. Mais loin de condamner la région à la fragmentation, ces crises ouvrent une fenêtre d’opportunité historique : celle de redéfinir l’intégration sur des bases nouvelles, plus inclusives, plus résilientes et mieux adaptées aux défis du XXIᵉ siècle.À l’horizon 2030–2040, deux trajectoires sont possibles. La première est celle de l’inertie, où l’instabilité persistante prolongerait les cycles de crises, d’isolement et de désintégration économique. La seconde, plus ambitieuse, est celle d’une refondation stratégique complètement endogène : une CEDEAO capable de combiner stabilité politique, intégration économique et sécurité collective de manière complètement endogène. Dans ce scénario, les États membres feraient de la résilience institutionnelle, de la diversification productive et de la coopération inclusive les piliers d’une intégration durable.
Chaque rupture institutionnelle non parlementaire, chaque frontière fermée, chaque crise sécuritaire se traduit en croissance perdue et en investissements détournés. Mais avec des institutions solides, des mécanismes régionaux de solidarité et une gouvernance repensée, l’Afrique de l’Ouest peut, de façon complètement endogène, inverser la tendance et, d’ici deux décennies, devenir un modèle continental de résilience et de prospérité partagée.
Référence
Sodokin, K. (2024). Fragmentation géopolitique et performances économiques en Afrique de l’Ouest. Actes des Journées Scientifiques Internationales de Lomé (JSIL-2024, XXᵉ édition), pp. 373-398. Université de Lomé, Togo. ISBN : 978-2-916789-80-4.

